рефераты бесплатно
 
Главная | Карта сайта
рефераты бесплатно
РАЗДЕЛЫ

рефераты бесплатно
ПАРТНЕРЫ

рефераты бесплатно
АЛФАВИТ
... А Б В Г Д Е Ж З И К Л М Н О П Р С Т У Ф Х Ц Ч Ш Щ Э Ю Я

рефераты бесплатно
ПОИСК
Введите фамилию автора:


Курсовая работа: Розробка конструкції робочого органу і схеми збиральної машини

Курсовая работа: Розробка конструкції робочого органу і схеми збиральної машини

Реферат

Курсовий проект на тему: “Розробка конструкції робочого органу і схеми збиральної машини”, складається з графічної частини на 4 листах формату А1 та пояснюючої записки.

Об’єктом розробки в даному курсовому проекті є зернозбиральна машина, тобто необхідно розробити схеми збиральної машини та конструкції одного вузла.

Пояснююча записка містить опис процесу побудови молотильного апарату, обґрунтування принципової та функціональної схем зернозбиральної машини. Встановлено режими, за яких двигун енергетичного засобу працюватиме з оптимальним завантаженням. Висвітлено питання обслуговування та організації робіт із використанням розробленого молотильного апарату.


Вступ

Курсове проектування є навчальною частиною процесу. Мета курсового проекту із предмета “Конструкція, розрахунок і виробництво сільськогосподарських машин” – навчити студентів самостійно розраховувати і проектувати збиральні машини на основі знань, отриманих при вивченні дисципліни.

Актуальним завданням сільськогосподарських машин, господарства є гарантоване забезпечення нашої країни продовольством за умови збереження і підвищення родючості ґрунтів, зменшення енергоспоживання, охорони навколишнього середовища, його вирішенню особливо на етапі становлення багатоукладних форм господарювання, сприятиме впровадженню новітніх технологій і машин, зокрема комплексної механізації рослинництва і тваринництва на базі науково обґрунтованої системи машин.

Система машин – це сукупність машин. Взаємоузгоджених за технологічним процесом, техніко-екологічними параметрами і продуктивністю, за допомогою яких забезпечується механізація виробничих процесів. Розробляють таку систему з урахуванням основних природно-кліматичних зон. Її постійно удосконалюють, доповнюють і змінюють на основі досягнень науки і техніки.

Науково-технічний прогрес у галузі механізації сільськогосподарського виробництва спрямований на підвищення продуктивності праці за рахунок розробки і впровадження широкозахватних машин, збільшення їх робочих швидкостей, вантажопідйомності, універсальності.


1. Основні вимоги до проектованої машини і умов її експлуатації

1.1 Призначення машини та вихідні вимоги

Розроблювана мною машина є аналогом машини збирального комбайну СК-5 «Нива».

Зернозбиральний самохідний комбайн СК-5 «Нива» призначений для збирання зернових колосових, зернобобових, круп’яних культур і насінників трав прямим комбайнуванням, підбору і обмолоту хлібної маси з валків, її скошування у валок. Застосовуючи різні приставки, комбайном можна збирати насінники трав, кукурудзу на зерно і силос, соняшник, сою, бобові і круп’яні культури.

Основними вузлами є: жатка, молотарка з молотильним, сепаруючим, очищувальним і транспортуючим пристроями, бункер з вивантажувальним пристроєм, гідрофікований копнувач, або подрібнювач соломи, ходова система, двигун, кабіна, електро- і гідро обладнання, органи керування і сигналізація.

Технічна характеристика комбайна:

·  Ширина захвату жатки – 4,1 або 5 м;

·  Пропускна здатність – 5…5,5 м/с;

·  Продуктивність за годину часу – 7,2 т.;

·  Ширина молотарки – 1200 мм;

·  Діаметр барабана – 600 мм;

·  Конструктивна маса машини – 8060 кг;

·  Ріжучий апарат косілочного типу з кованими пальцями із сталі 20;

·  Дека двохсекційна, зі змінним кроком робочих планок, з кутом обхвату барабана 146˚;

·  Тахометр обертів барабана і пристрій, що дозволяє швидше і зручніше регулювати число обертів барабана, редуктор обертів.


1.2 Вихідні дані для проектування і розробки конструкції машини

Розроблювана збиральна машина проектується для збирання зернових культур.

Вихідними даними для виконання курсового проекту є технічне завдання на курсовий проект.

Темою курсового проекту є розробка конструкції робочого органу і схем зернозбиральної машини.

Згідно завдання тип машини причіпний з власним двигуном.

Пропускна здатність молотарки – 11,5 кг/с;

Врожайність - 40 ц/га;

Робоча швидкість – 2,0 м/с;

Коефіцієнт використання часу – 0,85;

Висота встановлення ріжучого апарата – 19 см;

Хід ножа – 90 мм;

Параметри протирізальної пластини:

а= 25 мм; в= 37 мм; h=65 мм;

Щільність соломи – 20 кг/м3;

Робочий орган, що виноситься для розробки – молотильний апарат.

Агротехнічні вимоги

Основними агротехнічними вимогами до розроблювальної машини є:

·  Безвідмовність – комбайн повинен безперервно зберігати робото здатність на протязі деякого часу, або деякого виробітку;

·  Ремонтопридатність – властивість машини заключається в пристосовності до попередження і виявлення причин його відмови, а також швидкого та легкого ремонту, доступності вузлів до швидкої зміни або ремонту;

·  Працездатність – стан машини, при якому вона здатна виконувати задані функції, зберігаючи значення заданих параметрів в межах, встановлених технічною документацією;

·  Збереженість – властивість машини безперервно зберігати справний і працездатний стан на протязі та після зберігання, а також після транспортування. Ця властивість характеризується здатністю об’єкта протидіяти руйнуванню і старінню в процесі зберігання або транспортування;

·  Технічний ресурс – напрацювання машини від початку експлуатації або його поновлення після ремонту до настання критичного стану;

·  Строк служби – календарна тривалість експлуатації об’єкта від його початку, або поновлення після ремонту до настання критичного стану;

·  Висока зносостійкість – здатність машини, вузлів, деталей не втрачати своїх властивостей та розмірів в процесі роботи;

·  Легкість контролювати стан та динаміку роботи агрегатів та складових вузлів машини;

·  Простота обслуговування, проведення ТО, легка доступність вузлів, що потребують технічного контролю, перевірки.

Естетичні та енергопомічні вимоги.

Особливості форми та естетичності сільськогосподарських машин.

Під формою розуміють зовнішні обриси, зовнішній вигляд виробу. В сільськогосподарському машинобудуванні розрізняють відкриті форми машин, коли підкреслюється особливість конструкції, призначення робочих органів та панелі несучих конструкцій надають їй закритого вигляду. Третя форма – сукупність двох перших.

Форми окремих вузлів (складальних одиниць) не можна створювати у відриві від загальної форми машин.

До найважливіших властивостей композиції належать: цілісність, виразність, статичність, динамічність та інше.

Художнє конструювання сільськогосподарських машин є невід'ємним від їх конструювання і спрямоване на забезпечення краси машини.

Вимоги до складових частин виробу, сировини, експлуатаційних матеріалів.

Всі матеріали і комплектуючі вироби за найменуванням і марками повинні відповідати закладеним у технічну документацію і відповідати ДСТУ, ТУ та ін.

Вибір матеріалів і комплектуючих виробів повинні забезпечувати виконання показників призначення, експлуатації та інших вимог.

Вимоги до маркування

Маркування сільськогосподарських машин та її складових частин повинне відповідати вимогам ГОСТ 26 828-86, креслень та таким технічним вимогам:

-  На машині повинна бути паспортна табличка з написом такого змісту: найменування і позначення машини , порядковий номер машини за системою нумерації заводу виробника, рік випуску;

Транспортне маркування.

Основні написи:

1.  Назва вантажоодержувача, повна назва станції та скорочена назва залізниці призначення, порядковий номер в партії (чисельник – номер місця, а знаменник – кількість місць).

2.  Додаткові написи: назва пункту відправлення.

Інформаційні написи: маса брутто та нетто вантажного місця.

1.3. Відомості про природно-кліматичну зону

Таблиця 1.1 - Середня тривалість без морозного періоду (150 днів)

Степова зона Середній багаторічний період (дні) з температурами повітря вищими за
0ºС +5ºС +10ºС +15ºС
230-240 190-245 160-195 115-145

Таблиця 1.2 - Суми температур повітря у степовій зоні на території України

Степова зона Суми температур повітря
0ºС +5ºС +10ºС +15ºС
3000º-4000º 3000º-3900º 2800º-3500º 2200º-3000º

Найбільші запаси вологи в ґрунті спостерігаються весною, ними забезпечується врожай сільськогосподарських культур в умовах поливного землеробства.

Таблиця 1.3 - Середня багаторічна сума опадів, мм.

Степова зона Середня багаторічна сума опадів, мм.
За рік Холодний період (ХІ-ІІІ) Теплий період (ІV-Х) Січень Липень
405-500 120-190 180-340 20-45 25-65

Південно-західне розташування степової зони відносно її євразійського простягання зумовлює кліматичні характеристики, зокрема величини сонячної радіації, теплових ресурсів, характер зволоженості, тривалість без морозного і вегетаційного періодів та інше. Так річні суми величин сонячної радіації становлять у зоні мішаних лісів 4100 МДж/м2, а в степовій зоні – 5230 МДж/м2. Річний радіаційний баланс змінюється від 1900 до 2210 МДж/м2. Середні температури січня змінюються від -7,6ºС на півночі зони, до - 2ºС на півдні, а середня липнева температура змінюється відповідно, від +20ºС до +24ºС. Річна сума температур вище +10ºС становить 2800ºС-3600ºС, що на 600º-1000ºС більше, ніж у зоні мішаних лісів. Без морозний період триває 160-220 днів, а період активної вегетації 160-295 днів. Середні річні температури повітря підвищуються від +7,5ºС на північному сході до +14ºС на південному сході зони. Степова зона знаходиться на південь від осі підвищеного атмосферного тиску. Це впливає на характер атмосферної циркуляції. Тут при загальному переважанні західного перенесення вологих повітряних мас у формуванні степового клімату велику роль відіграють східні й північно-східні континентальні, а також середземноморські тропічні повітряні маси. Часто атлантичні циклони не досягають степової зони, що є причиною менших, порівняно з лісостеповою зоною, річних сум опадів.

Річні суми опадів сягають від 450 мм на півночі зони до 350 мм на півдні. До 60 – 70% опадів випадає в тепловий період року. Характерною особливістю степів є висока випаровуваність: 700 – 880 мм на півночі й до 900 – 1000 мм на рік на півдні зони. Коефіцієнт зволоження змінюється від 1,2 до 0,8. Дефіцит вологи в степу впливає на сучасні фізико – географічні процеси, формування гідрографічної мережі. Остання в степу є мало розвиненою: середня її густота становить 0,08 – 0,005 км/км2. Стік формується переважно за рахунок талих снігових вод, які дають 70 – 80% річного стоку. Атмосферні опади влітку втрачаються передусім на випаровування. У режимі степових річок спостерігається короткочасна та висока весняна повінь і низька літня межень. Підвищення рівнів можливе влітку під час злив.

У північній підзоні переважають чорноземи Приазовської височини (7,2%). На південь від смуги середньогумусних чорноземів поширені малогумусні ( вміст гумусу – 5 – 5,8% ). На плакорах ґрунтовий покрив однорідний на схилах поширені відміли звичайних чорноземів, на терасових рівнинах розвинуті чорноземи та лучно – чорноземні ґрунти. На півдні Причорноморської низовини сформувались чорноземи південні. На півдні степу в умовах різкого дефіциту вологи глибина промивання грунтів зменшується. Завдяки цьому гіпс підтягується вгору.

1.3.1 Відомості про технологічні процеси

Молотильний апарат містить у собі молотильний барабан, підбарабанник і механізм регулювання підбарабанника. Принцип його роботи наступний. Молотильний барабан, захоплюючи порції рослинної маси, виконує обмолот і сепарацію соломистої купи з одночасним переміщенням його через зменшуваний до виходу зазор, утворений бичами молотильного барабана і планками підбарабанника. Після проходу рослинної маси через молотильний апарат усе зерно з колось повинне бути виділено й в основному просепаровано через підбарабанник.

Привод барабана здійснюється від відбійного бітера через клиноремінний варіатор. На приводі барабана встановлений пристрій для автоматичного натягу ременя пропорційно переданої потужності.

Керують частотою обертання барабана з кабіни комбайнера.

Підбарабанник односекційний, оборотний, звареної конструкції. Включає деку, вхідний щиток, пальцеві ґрати і відбивний щиток з фартухом.

Для пропорційної зміни зазорів між декою і бичами барабана, аварійного скидання підбарабанника при випадкових забиваннях молотильного апарата, а також запобігання деки від поломок при влученні твердих предметів служить механізм підвіски і регулювання підбарабанника.

Зазори між бичами барабана і планками деки при необхідності заміряють через люки в панелях молотарки. Для правильної роботи механізму на заводі встановлюють зазори: на вході на передній планці деки — 18 мм, на виході — 2 мм.


2. Обґрунтування параметрів проектованої машини, її робочих органів

2.1 Обґрунтування технологічних параметрів зернозбиральної машини

Ширина захвату комбайна В знаходиться з наступного рівняння:

q0 =А·В·Vм, (1)

де q0 – пропускна здатність машини, кг/с; А – врожайність усієї рослинної маси, що збирається, кг/с; Vм – швидкість руху машини, м/с.

Між урожайністю всієї рослинної маси А і урожайністю зерна Аз існує залежність:

А= Аз___ (2)

1-β

де β – коефіцієнт соломистості (для проектних розрахунків приймають β=0,6)

Тоді

В=___ q0 _ (1-β),

Аз· Vм

Де Аз – вимірюється в кг/м2.

Або В= 100 · q0 (1-β), (3)

Азм · Vм


Де Азм вимірюється в ц/га.

В= 100 · q0 (1-β)=100 ·11,5 · (1-0,6)=1150 · 0,4=5,75м

Азм             · Vм 40                    ·2 80

Для подальшого проектування і в подальших розрахунках в якості ширини захвату комбайну В використовується його значення В0 округлене з точністю до 0,1м.

Годинну продуктивність машини W розраховують за формулою

W=0,36·В· Vм·Ƭзм, (4)

де Ƭзм – коефіцієнт використання часу зміни.

W=0,36·В· Vм·Ƭзм = 0,36·5,75·2·0,85= 3,52

2.2 Розрахунок параметрів ріжучого апарата

Вихідними даними для розрахунку ріжучого апарата є його тип, висота встановлення ріжучого апарату Нвст , хід ножа S (тобто переміщення ножа при його русі з одного крайнього положення в інше), крок ріжучої t та протиріжучої t0 частин, розміри протирізальної пластини.

Ніж у сегментно-пальцевому різальному апараті здійснює зворотно-поступальний (коливний) рух, а цей рух, як правило, отримують з обертового

руху. Для перетворення останнього у зворотно-поступальний найчастіше використовують кривошипно-шатунний механізм. Тому у проекті рекомендується розробляти згадуваний механізм приводу. Проте може бути і розроблений привідний механізм з коливною шайбою чи коливною вилкою.

Оскільки практикою встановлено, що кращим ріжучим апаратом для зернозбиральних машин за якістю різання, енергетичними й експлуатаційними показниками є апарат нормального різання з одинарним пробігом ножа, то в курсовому проекті слід розраховувати і проектувати такий тип апарата. Останній характеризується тим, що S= t= t0; таким чином t= S і t0= S.

Кут α відхилення лез сегмента знаходяться з умови:

α+βnφ1+ φ2, (5)

де βn – кут нахилу леза протирізальної пластини;

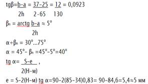
φ1 і φ2 – кут тертя стебла відповідно в лезо сегмента і лезо протирізальної пластини. Сума φ1+φ2 при збиранні зернових, як правило, знаходиться у межах 30º....75º.

Розміри сегментів та протиріжучих пластин визначаються ГОСТ 158-74, проте при виконанні курсового проекту студентам необхідно підібрати такий параметр сегмента e , за якого буде виконуватись умова (5) (рис.1). Для цього необхідно встановити, за наведеними у вихідних даних розмірами протирізальної пластини, кут нахилу її леза βn , прийняти значення φ1+φ2 із наведеного діапазону та за значенням tgα визначити параметр e .

Користуючись викладеними вище даними, визначається радіус кривошипа механізму приводу, будується траєкторія руху точок леза сегмента, визначаємо швидкість різання, площу подачі, площу навантаження, частоту обертання кривошипа та відгин стебел при різанні.

Страницы: 1, 2


рефераты бесплатно
НОВОСТИ рефераты бесплатно
рефераты бесплатно
ВХОД рефераты бесплатно
Логин:
Пароль:
регистрация
забыли пароль?

рефераты бесплатно    
рефераты бесплатно
ТЕГИ рефераты бесплатно

Рефераты бесплатно, реферат бесплатно, сочинения, курсовые работы, реферат, доклады, рефераты, рефераты скачать, рефераты на тему, курсовые, дипломы, научные работы и многое другое.


Copyright © 2012 г.
При использовании материалов - ссылка на сайт обязательна.